The upcoming 2023/2024 season of the English Premier League on Sorare is sparking a lot of excitement, and for those involved with the platform, it’s the chance to try and dominate the prestigious Champion Europe division with your favorite EPL stars.
However, if you’ve been a Sorare manager long enough, by now you probably know that the players that do brilliantly in real life aren’t necessarily star performers on the platform. Hence, knowing how to scout the right cards is extremely important.
Luckily for you, I’ve already done all the hard work and in this article, you will find:
Whether you’re new to Sorare or a seasoned player, this post is here to assist you in navigating the 2023/2024 EPL season on Sorare and reaping some great rewards!
Best English Premier League Players on Sorare
As already mentioned above, the list of English Premier League players has been created in a way to cater to managers with varying budgets – so that anyone can find a useful card for their lineup.
SIGN-UP OFFER
Register at Sorare using this sign-up offer and get free $150 to spend on cards.
I have grouped the scouted players into three categories based on their price tags and performances:
- Best Overall – the very best cards with high price tags
- Good Value – well-performing cards with surprisingly affordable price tags
- Low-Budget Starters – acceptable first-team performers available at the small cost
Now, let’s finally dive into the scouting report.
Best EPL Goalkeepers
As any seasoned Sorare manager can tell you, selecting the best goalie can make or break your lineup.
It’s also no secret that goalkeepers in Sorare tend to be more expensive than outfielders. This is simply due to the fact that the number of them is fewer (the majority of clubs only have one to two goalies on their “first team” while other positions are covered a lot more).
It’s typically a good idea to consider keepers who play for dominant clubs in their respective leagues.
That’s because not surrendering many goals is crucial to your long-term success on the platform, and keeping clean sheets is even better since it means the goalies get a +25 Decisive Score.
🏆 Best Overall – Ederson 🏆

Looking over the course of the whole season, there’s probably no goalkeeper that is more reliable than the one playing at the current EPL Champions and last season’s Treble Winners – Ederson.
Appreciated for his amazing footwork, the Brazilian is expected to have another solid season between the sticks at the Etihad Stadium.
Playing for a team that is yet again expected to dominate domestic football, he’s a card that you want to have in your lineups going forward.
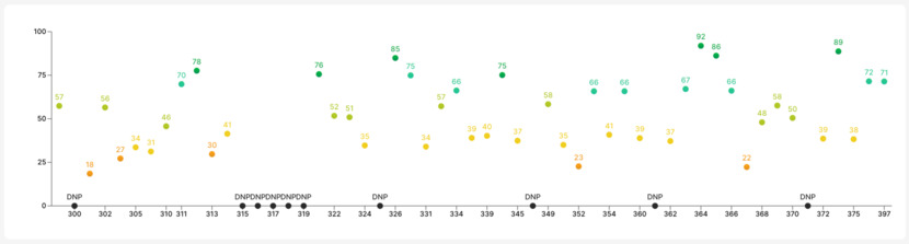
As you can see on the graph below (kudos: SorareData), Ederson regularly delivers green-to-dark-green scores. What’s extremely important for a goalkeeper on Sorare, he barely concedes more than two goals, meaning you are avoiding a negative decisive score (-25 points) in your lineups.

Moreover, with the defensive reinforcements arriving over the summer (ie. Joško Gvardiol), there is a fair chance that Ederson might improve on his last season’s stats.
Unsurprisingly for arguably the best keeper in the league, Ederson comes with a hefty price tag. At the time of writing, his Limited cards are available for around $150, Rares – $1,340, Super Rares – $4,970, and Unique – $18,250.
It’s also worth noting that Ederson cards guarantee midweek utility, with Manchester City regular participants in the latter stages of the UEFA Champions League.
💰 Good Value – Jordan Pickford 💰

Jordan Pickford has proven time and again that he is a goalkeeper of exceptional quality, and all signs point to him having another above-average season at Everton.
Pickford’s shot-stopping prowess is unquestionable. His lightning-fast reflexes and uncanny ability to make acrobatic saves have rescued Everton on numerous occasions.
His command of the penalty area and his exceptional distribution skills, often starting swift counterattacks, make him an asset both defensively and offensively.
Despite Everton’s poor season last year (avoiding relegation on the last day), Pickford regularly delivered very solid scores, oftentimes single-handedly securing points for the Goodison Park side.

As Everton is expected to improve this season, Pickford’s performance is likely to shine even brighter. The team’s bolstered defense and midfield, coupled with strategic signings, promise a more cohesive and potent unit. With a stronger defensive setup in front of him, Pickford will have the confidence to showcase his skills and make critical saves when needed.
Considering his really solid SO5 scores and a very fair price, Pickford is our value pick. His Limited cards are available for roughly $53, Rares – $715, Super Rares – $2,000, and Uniques – $5,366.
The fact that Pickford is pretty much a guaranteed starter during next year’s European Championship makes the deal even sweeter.
🏁 Low-Budget Starter – Neto 🏁

Neto‘s journey from Barcelona to Bournemouth in 2022 was a testament to his dedication and skill as a goalkeeper. Despite donning the gloves for a team in the bottom half of the table, Neto consistently delivers good performances that not only defy expectations but also earn him impressive SO5 scores.
Beyond his agility and good shot-stopping attributes, Neto’s distribution skills are reminiscent of modern sweeper-keepers, allowing Bournemouth to swiftly transition from defense to attack.
Playing for a team in the lower half of the table has not deterred Neto’s determination to excel. In fact, it seems to have fueled his competitive spirit. His consistent Sorare scores reflect his consistency and impact on the pitch, even in challenging circumstances.
Despite the pretty average standard of his team, Neto conceded more than two goals on just five occasions last season, and even during these games he managed to escape red SO5 scores by contributing other crucial saves during these games.

As Bournemouth continues to strive for improvement, Neto’s contributions are bound to become even more significant.
If you’re looking for an affordable Premier League goalie who rarely kills a lineup, Neto’s pricing of cards suggests he’s worth a shot:
- Limited – $22
- Rare – $400
- Super Rare – $1,200
- Unique – $1,800
As things stand, is by far the most reliable low-budget option in the EPL.
Best EPL Defenders
Although conceding is not the end of the world for defenders since they can compensate with other Decisive contributions, it is still ideal to target players from teams who do not leak a lot of goals every week or belong to the division’s top-tier clubs.
Remember that defender cards get a 10-point boost for clean sheets.
🏆 Best Overall – Trent Alexander-Arnold 🏆

Trent Alexander-Arnold, a shining star amidst the shadows of a disappointing 2022/2023 season for Liverpool, has captured the attention of Sorare managers worldwide. His remarkable achievements and consistent excellence on the platform have firmly established him as one of the premier defenders in the game.
In the midst of Liverpool’s challenges last year, Alexander-Arnold stood out as a beacon of brilliance. His performances, characterized by astute defensive positioning and electrifying attacking contributions, provided a glimmer of hope during trying times. Despite the team’s struggles, he managed to maintain an exceptional standard of play.
Ranked as the 5th best defender on the entire Sorare platform, Alexander-Arnold’s presence on the pitch is synonymous with reliability. His defensive prowess is matched only by his ability to deliver incisive crosses and set pieces, often creating scoring opportunities for his teammates.
Although he may have lost his U23 utility this summer, Alexander-Arnold remains an elite defender card that any Sorare manager would covet. His consistent delivery of dark green scores is a testament to his reliability and impact, proving that his influence on the game transcends individual matches.

Looking ahead, the anticipation for Alexander-Arnold’s performance in the upcoming season is palpable. With Liverpool expected to bounce back from a disappointing year, his role as the main man in the team’s resurgence cannot be overstated.
It goes without saying that Trent’s incredible SO5 scores haven’t gone unnoticed in the community, and he’s one of the most expensive defender cards in the game. As things stand, the price tags are the following:
- Limited – $196
- Rare – $1,712
- Super Rare – $9,266
A Unique version isn’t available yet.
With Liverpool qualifying for this season’s Europa League, Alexander-Arnold is also tipped to deliver excellent scores during midweeks. Furthermore, the prospect of his international utility during Euro 2024 adds another reason why investing in his card is worth the (mega) buck.
💰 Good Value – Nathan Ake 💰

Nathan Ake‘s remarkable journey as a mainstay in Manchester City’s title and treble-winning squad has not only solidified his place in football history but has also made him a hidden gem in the world of Sorare.
Despite consistently delivering impressive Sorare scores, Ake’s cards remain a remarkably affordable option, offering savvy managers an extraordinary opportunity.
In the midst of Manchester City’s triumphs, Ake’s contributions were nothing short of pivotal. His rock-solid defending, coupled with his ability to initiate attacks from the back, played an integral role in the team’s success.
It’s worth noting that despite his consistent good-to-very-good Sorare scores, Ake’s cards are an incredible value, priced more than 7 times cheaper than the pack-leading Alexander-Arnolt discussed above.
This presents a unique chance for Sorare enthusiasts to acquire a player of his caliber without breaking the bank, making his cards an attractive proposition for both experienced and budding managers.

As the new Premier League season unfolds, expectations are high for Ake and Manchester City to continue their dominance. With a team that is set to challenge for domestic and international glory once again, Ake’s role as a linchpin in City’s defensive setup will undoubtedly be pivotal to their success.
Moreover, Ake’s cards offer a valuable midweek utility thanks to Manchester City’s Champions League fixtures. This presents an additional opportunity for managers to capitalize on his consistent performances on the European stage, further enhancing the appeal of his Sorare cards.
The current pricing is as follows:
- Limited – $25
- Rare – $140
- Super Rare – $1,400
Currently, the Unique version is not available.
Looking ahead, Ake’s importance extends to the international arena as well. As a first-choice player for the Dutch national team, he is poised to play a significant role in the upcoming European Championship in 2024. His presence in a formidable Dutch side adds yet another layer of desirability to his Sorare cards.
🏁 Low-Budget Starter – Thiago Silva 🏁

Thiago Silva, the seasoned defender at 38, stands as a testament to experience’s enduring value in the fast-paced world of football.
As one of the most knowledgeable and skilled defenders in the English Premier League, his contributions to Chelsea have been nothing short of exceptional. Yet, his Sorare card remains an undiscovered treasure, offering incredible value for savvy managers.
In an era where age is often seen as a hindrance, Silva defies the norm. His consistently high SO5 scores make him an absolute steal in the Sorare market. Despite his advanced years, his performances on the pitch continue to match, and often exceed, those of players in their prime. His card’s undervaluation is a remarkable opportunity for managers to acquire a player of his caliber at a fraction of the cost.

Anticipation is high for Silva’s final season at Chelsea under the guidance of Mauricio Pochettino. The prospect of a great last hurrah adds an extra layer of excitement to his Sorare card. With his wealth of experience and leadership, Silva is well-poised to anchor Chelsea’s defense and inspire the team toward further success.
A unique aspect of Silva’s game is his knack for contributing offensively. He isn’t just a solid defensive presence; he’s also a threat in the opposition’s box. His ability to score goals or provide assists adds an extra dimension to his Sorare card, making him a valuable asset that can impact both ends of the pitch.
One of Silva’s defining qualities is his consistency. Rarely does he let down Sorare line-ups. Regardless of the opponent or the context, his performances remain steadfast, making him a reliable choice for managers seeking a stable foundation for their teams.
To pick Silva as our favorite low-budget defender card was super easy. No contest whatsoever.
Best EPL Midfielders
As you have already learned, you should search for players that don’t give up many goals and usually record clean sheets when recruiting defensive reinforcements.
However, while assembling the other half of your roster, beginning with midfielders, it’s critical to focus on creative and attack-oriented performers.
Remember that a forward-thinking midfielder will frequently provide you with more points than a defensive one since he is more likely to deliver decisive contributions, such as goals or assists.
At the very least, you should Target players who regularly have solid AAS (All-Around Score).
🏆 Best Overall – Bruno Fernandes 🏆

Bruno Fernandes, a midfield maestro who transcends both the Premier League and the entire Sorare platform, stands as a coveted gem among football managers. Widely regarded as the pinnacle of midfield excellence, his influence on the pitch is mirrored in his consistently stellar performances and coveted Sorare scores.
Undoubtedly one of the most sought-after midfielder cards in the Sorare universe, Fernandes’ dark green SO5 scores paint a vivid picture of his impact. His ability to dictate the flow of the game, deliver key passes, and contribute to goals makes him an unrivaled asset in the world of fantasy football. His card’s appeal extends beyond just the Premier League, setting a new standard for midfield excellence across leagues.
I mean, just look at the number of those dark green scores. Insane.

With Manchester United poised to elevate their performance from the previous season, Fernandes’ scores are anticipated to soar to even greater heights. As the team gears up for a season of resurgence, his pivotal role in orchestrating attacks and delivering match-winning performances adds an extra layer of allure to his Sorare card.
The prospect of midweek utility further enhances Fernandes’ appeal. Manchester United’s participation in the Champions League presents an opportunity for managers to capitalize on his consistent brilliance on both domestic and European fronts. His ability to shine under the spotlight of elite competition cements his status as a must-have asset.
Looking ahead, Euro 2024 promises to be another stage for Fernandes to showcase his prowess. With a guaranteed starting spot in the Portuguese national team, his role in the tournament is pivotal. His presence in the midfield engine room ensures that he will be at the heart of Portugal’s campaign, adding international utility to his already impressive portfolio.
💰 Good Value – Lucas Paquetá 💰

Lucas Paquetá, the 26-year-old midfield sensation at West Ham United, is an enigmatic force redefining value and potential on the Sorare platform. With an uncanny ability to consistently deliver impressive SO5 scores, his presence in the midfield has been a beacon of brilliance for a team navigating the challenges of avoiding relegation.
In the realm of Sorare, Paquetá stands out as one of the most enticing and budget-friendly midfielder cards across not only the Premier League but the entirety of Sorare. Despite West Ham’s precarious position last season, his remarkable ability to contribute offensively and defensively ensured a steady stream of green to dark-green scores, making his card a treasure trove for astute managers.
Anticipation runs high as rumors swirl about Paquetá’s impending big-money move to Manchester City. With a potential transfer on the horizon, his scores are projected to skyrocket. The likely absence of Kevin de Bruyne due to injury could see Paquetá step into a prominent role, making him an invaluable asset in the lineup. As Manchester City’s ambitions align with his capabilities, his Sorare card becomes an irresistible proposition for those in pursuit of game-changing additions.
Paquetá’s appeal doesn’t end there. The prospect of midweek card utility, courtesy of Manchester City’s Champions League involvement, adds another layer of excitement. His performances on both domestic and European fronts promise to elevate his Sorare scores and solidify his status as a must-have midfielder.
In essence, Lucas Paquetá’s journey from West Ham United to the precipice of a Manchester City move is a story of undiscovered brilliance and potential. His ability to defy expectations and consistently deliver exceptional scores underscores his allure. As the football world eagerly watches his next chapter unfold, his Sorare card emerges as a coveted gem that promises a new dimension of success and strategy for managers seeking that winning edge.

.
🏁 Low-Budget Starter – Abdoulaye Doucouré 🏁

Abdoulaye Doucouré, the dynamic 26-year-old midfielder from Everton and a proud Mali international, has quietly emerged as a budget-friendly powerhouse for your English Premier League Sorare lineup. Despite his team’s struggles last season, Doucouré’s perseverance and impact have made him a hidden gem waiting to shine.
As Everton navigated challenges, Doucouré’s ascent to a starting place showcased his resilience and determination. His presence on the pitch became increasingly influential as the campaign progressed, and his performances ultimately solidified his role as a crucial asset in the midfield. Doucouré’s journey from battling for a spot to earning a pivotal position mirrors his dedication and tenacity.
Anticipation runs high for Doucouré’s upcoming season, where he is expected to play a more central and settled role. With a stronger team dynamic and improved squad cohesion, he is poised to thrive. His adaptability and versatility make him an asset in various tactical setups, promising a more impactful and consistent campaign ahead.
Doucouré’s brilliance isn’t confined to his role as a midfielder; it extends to unforgettable moments on the pitch. His stunning goal against Bournemouth, celebrated as one of the goals of the season, highlights his ability to create magic and leave a lasting impression. Moments like these underscore his potential to be a game-changer, capable of turning the tide in Everton’s favor.
Notably, Doucouré’s contributions aren’t restricted to defensive duties. His penchant for goals and assists when given the opportunity to start showcases his well-rounded skill set. His ability to impact both ends of the pitch makes him a valuable asset for Sorare managers seeking a player who can influence various aspects of the game.

.
Best EPL Forwards
While it is undoubtedly true that you should construct your squad from the back, we always find scouting the forwards to be the most enjoyable.
Simply said, they’re more fascinating and enjoyable to watch!
It should go without saying that if you want to maximize your chances of winning Sorare rewards, you should target top forwards from teams that typically dominate their games.
🏆 Best Overall – Erling Haaland 🏆

Surely Erling Haaland doesn’t need any introduction to a Premier League fan or any other league fan for that matter.
The electrifying 23-year-old Norwegian striker has redefined the art of goal-scoring and stands as an unrivaled force on the global football stage. Widely acclaimed as the best striker in the world, his remarkable ability to shatter scoring records on a near-weekly basis has solidified his status as a game-changing phenomenon.
Haaland’s presence on the pitch is synonymous with goals, and his Sorare scores consistently reflect this prowess. From green to dark green SO5 scores, his impact is not only substantial but also incredibly reliable. His ability to find the back of the net with astonishing frequency makes him an irresistible asset for Sorare managers seeking consistent and high-scoring contributions.

Playing for the current treble-winning Premier League champion, Manchester City, has only elevated Haaland’s prominence. His role in their triumphs is undeniable, as his goals have been instrumental in securing victories and titles. With a team that boasts an impressive roster, Haaland’s ability to shine amidst stars is a testament to his exceptional skill set.
The prospect of U23 card utility for the next two seasons adds another layer of excitement to Haaland’s profile. As he continues to evolve and dominate, his card’s value is set to appreciate, offering managers a long-term investment that promises both immediate impact and future gains.
Moreover, the midweek utility stemming from Manchester City’s participation in the Champions League enhances Haaland’s appeal. His ability to deliver clutch performances on the European stage adds an extra dimension to his Sorare card, making it an invaluable asset for managers seeking top-tier contributions across different competitions.
💰 Good Value – Bryan Mbeumo 💰

Bryan Mbeumo, the talented 24-year-old French striker plying his trade at Brentford, has emerged as a shining star with immense potential on the Sorare platform. As he enters the prime of his career, his Sorare card offers a unique opportunity, boasting not only a season of U23 utility but also a track record of excellence that promises exciting possibilities.
Mbeumo’s journey from last season’s stellar campaign to the current one is a testament to his consistent growth and impact. The prospect of another season of U23 utility adds a layer of versatility to his card, making it a valuable asset that promises both immediate rewards and long-term potential.
With each match, Mbeumo proves his worth as a key player for Brentford. His exceptional performances have not gone unnoticed, sparking speculation of a potential move to a higher-ranked team within the league. His Sorare card becomes a dynamic investment, one that may appreciate in value as his career trajectory continues to ascend.
Last season’s green to dark green SO5 scores stand as a testament to Mbeumo’s reliability and influence on the pitch. His ability to consistently deliver solid performances underscores his role as a consistent asset, capable of contributing to your fantasy lineup week in and week out.
The fact that Mbeumo starts whenever he is fit is a testament to his importance within the team. His regular inclusion in the starting lineup further solidifies his Sorare card as a valuable option for managers seeking a dependable forward in the EPL.
In the realm of forward Sorare cards in the Premier League, Mbeumo stands out as an exceptional value pick. His ability to deliver good scores consistently, coupled with the potential for a move to a more prominent team, makes his Sorare card an enticing investment that promises both immediate impact and future gains.

.
🏁 Low-Budget Starter – Willian 🏁

Willian, the seasoned 35-year-old Brazilian maestro, is a living testament to football’s enduring magic. Hailing from Fulham, his journey is a testament to persistence and remarkable performances. Despite his age, Willian’s Sorare card remains a valuable asset, underlining his status as a dependable performer and a beacon of experience.
Last season at Craven Cottage, Willian’s impact was nothing short of impressive. His ability to contribute on the pitch and deliver standout performances marked him as a key player. Leaving during the summer only to return and sign a one-year contract extension exemplifies his dedication to the team and his passion for the game.
In the world of Sorare, Willian’s penchant for green to dark green SO5 scores is well-documented. His ability to consistently deliver solid performances, even at his age, speaks volumes about his skill and footballing intelligence. His Sorare card mirrors his dependable nature, offering managers a budget-friendly option that promises reliable points.
The culmination of last season showcased Willian’s enduring brilliance. His standout performances, particularly strong towards the season’s end, captured his unwavering commitment to the sport and his team. As he prepares to lead the line once again this year, his Sorare card remains a treasure trove of potential points, making it an intriguing choice for those seeking a seasoned performer.
Perhaps one of Willian’s most intriguing aspects is the affordability of his Sorare cards. Available for what seems like a mere pittance, his card’s value-to-potential ratio is enticing. This presents an opportunity for managers to acquire a player with a proven track record at a fraction of the cost.

.
Best EPL Stacks on Sorare
.
Manchester City Stack

.
Liverpool Stack

.
Newcastle United Stack
